Franklin FPS Tri-Seal

The standard FPS Tri-Seal 4-inch submersible well pump features the new TRI-SEAL floating stage system. This new stage system for the submersible well pump improves efficiency and protects against wear when pumping abrasives (sand).

Features & Benefits

  • 300 series stainless steel hub floats with the impeller maintaining a positive seal.
  • Phenolic washer provides down-thrust protection.
  • Acetal impeller provides high efficiency performance and abrasion resistance.
  • Modified PPO diffuser and disc – proven abrasion resistant material.
  • Floating stage design allows impeller to float independently.
    Removable, spring-loaded check valve.
  • Maximum water temperature: 120 °F/ 49 °C.
  • Ceramic shaft sleeve and rubber discharge bearing protect shaft and eliminate sand wear.
  • Powered by Franklin Electric corrosion resistant 4-inch submersible motor
  • Patented impeller hub seal system seals radially and axially to prevent fluid recirculation, providing high performance in the harshest conditions.

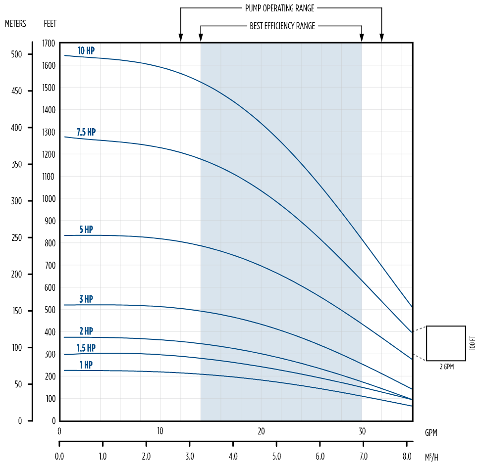
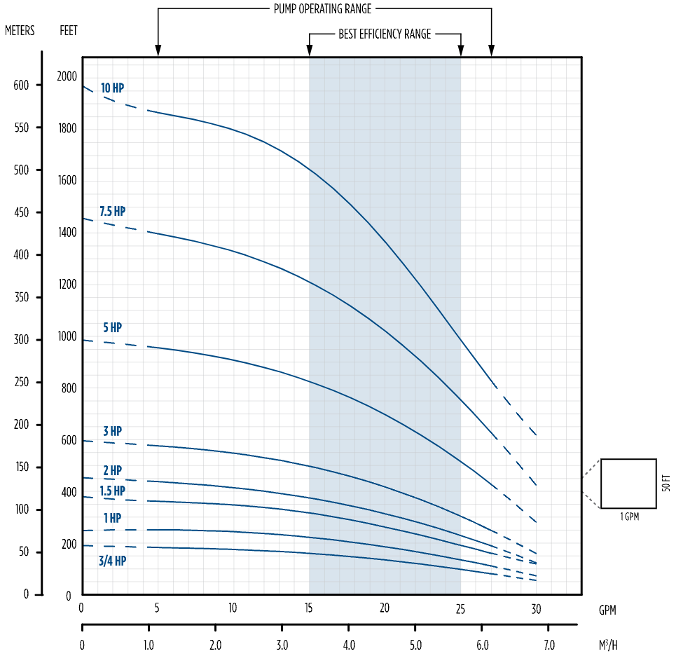
Performance Curves

10GPM                         15GPM                         20GPM                         25GPM

Downloads

Contact Us

CAPTCHA image

This helps us prevent spam, thank you.